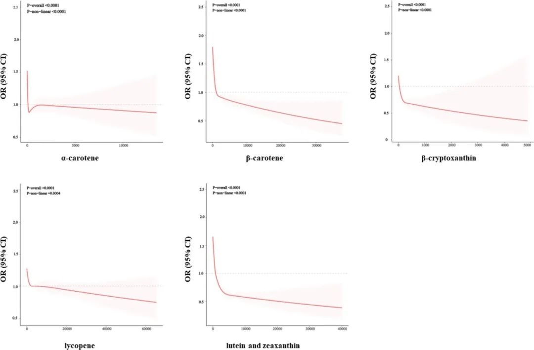
近期,四川大学华西医院的研究团队基于2009-2018年间的全国健康与营养检查调查(NHANES)数据,对19280名参与者进行了深入分析。结果显示,类胡萝卜素对减缓表型衰老的加速具有显著效果,其中β-胡萝卜素和β-隐黄质的作用尤为突出,表明了这种天然色素在抗衰老领域的巨大潜力。
类胡萝卜素越高,抗衰老力越显著
类胡萝卜素是一种天然的脂溶性色素,广泛存在于藻类、真菌、细菌和植物中。迄今,被发现的天然类胡萝卜素已达700多种。根据化学结构的不同可以将其分为两类,一类仅只含碳氢两种元素,不含氧元素(如α-胡萝卜素、β-胡萝卜素、番茄红素);另一类是其氧化衍生物,有羟基、酮基、羧基、甲氧基等含氧官能团(如叶黄素、玉米黄质等)。其中α-胡萝卜素、β-胡萝卜素、β-隐黄质、番茄红素、叶黄素和玉米黄质等6种占人体血液中循环的类胡萝卜素的 95% 以上。
这项基于全国健康与营养检查调查(NHANES)的数据,探讨了膳食中类胡萝卜素的摄入量与生物衰老进程的关系。通过分析饮食数据获取类胡萝卜素的摄入量,并利用PhenoAge和Klemera-Doubal(KDM)方法来评估生物年龄。
研究结果显示,较高的膳食类胡萝卜素水平与减缓生物衰老速度显著相关,提示类胡萝卜素具有潜在的抗衰老作用。进一步分析发现,类胡萝卜素与生物年龄加速之间的关联呈现显著的非线性特征,表明在较高摄入水平上,其保护作用增强。
根据研究结果,β-胡萝卜素和β-隐黄质在抗衰老方面的效果尤为突出。此外,类胡萝卜素的抗衰老效果在不同人群中存在差异,年轻人群(小于60岁)、女性、高血压患者和糖尿病患者从高水平的类胡萝卜素摄入中获益更为显著,有助于减缓生物衰老的进程。
类胡萝卜素的抗衰研究
衰老是一个复杂的生物过程,其特征是生理功能逐渐下降和疾病易感性提升。氧化应激和炎症是推动衰老的关键因素。
类胡萝卜素因其分子结构中含有众多共轭双键,通过中和自由基和减少炎症,具有强大的抗氧化能力,能有效清除体内的活性氧物质(如过氧化物自由基和单线态氧),从而在促进健康老龄化方面发挥关键作用。
类胡萝卜素的抗衰老潜力主要基于其促进核因子红细胞2相关因子2(Nrf2)向细胞核迁移的能力。Nrf2迁移到细胞核后,开始抗氧化和解毒酶的转录。此外,随着细胞的分裂,其端粒会缩短直到死亡,而ROS 和炎症会加速端粒缩短。据报道,膳食中β-胡萝卜素摄入量高与端粒长度较长有关。
类胡萝卜素的更多功效
类胡萝卜因其具有着色力强、色泽稳定均匀,被广泛应用于各个领域,如作为饮料、糖果等食品着色剂、与儿童食品营养配伍等。类胡萝卜素具有维生素A活性、保护心血管健康、皮肤健康等多种功效,对人体具有重要的生理调节和疾病预防作用。
1、保护心血管健康
类胡萝卜素可以通过抑制低密度脂蛋白的氧化来防止动脉粥样硬化的发展,以及防止对血管细胞的氧化损伤并保持血管功能。其中番茄红素和叶黄素等类胡萝卜素在这方面具有关键益处。一项荟萃分析发现,在饮食中摄入番茄红素的个体患心血管疾病的风险降低了17%。叶黄素的作用效果是番茄红素的15倍,是β-胡萝卜素的10倍,可有效防止脂质过氧化。
2、皮肤健康
光老化主要由环境因素引起,表现为皮肤弹性下降、色素沉着异常、干燥与瘙痒。紫外线是关键诱因,通过促进ROS生成,破坏皮肤防护与修复功能,进而引起皮肤及表皮损伤加速老化。研究显示,补充类胡萝卜素能有效预防紫外线诱导的ROS形成。
例如,虾青素可通过抑制氧化损伤提升皮肤健康,发挥抗光老化作用。它能抑制黑色素合成,减少色素沉着,增加皮肤水分,改善干燥肌肤。研究显示,口服虾青素能减少老年斑、皱纹,提高皮肤水合作用和弹性。此外,虾青素还能降低紫外线引起的皮肤损伤,减少水分流失和皮疹,保护皮肤健康。
3、护肝
膳食类胡萝卜素的摄入被认为是预防非酒精性脂肪肝病(NAFLD)的一项基本策略。番茄红素对多种肝脏疾病具有保肝特性,包括酒精性和非酒精性脂肪肝。番茄红素的肝脏保护作用主要源于其强大的抗氧化性能,能够有效抑制活性氧(ROS)所引发的细胞损伤。
此外,研究指出,β-胡萝卜素作为肝脏中含量最丰富的类胡萝卜素之一,展现出显著的保肝效果。通过膳食途径增加β-胡萝卜素的摄入量,可以显著降低肝脏脂肪变性及由自由基介导的肝细胞损伤的风险。
4、改善年龄相关性黄斑变性(AMD)
年龄相关性黄斑变性(AMD)是一种普遍的视力障碍性疾病,主要由成熟个体的光感受器退化性损伤所致,现已成为65岁以上人群中失明的主要原因。据预测,到2040年全球AMD的患病人数将增至近2.88亿。
AMD的初期表现为视力下降、对比度敏感度降低和视觉敏锐度减弱,其特征是在进行过程中功能性视力逐渐下降。类胡萝卜素在维持黄斑区健康和功能方面扮演着关键角色。在众多类胡萝卜素中,叶黄素和玉米黄质被证明能够穿过血-视网膜屏障,并在视网膜内积聚形成黄斑色素,这一过程对于黄斑的保护至关重要。
此外,虾青素,作为叶黄素家族中的一员,主要存在于海洋生物中,被认为对于预防光诱导的视网膜损伤和功能障碍具有潜在的保护作用。虾青素因其独特的分子结构,能够穿越细胞双层膜,有效清除细胞内外层的活性氧,从而为视网膜提供对抗氧化应激的防御机制。
