甜叶菊是多年生、短日照菊科草本植物,原产于巴拉圭东北部与巴西接壤的阿曼拜山脉,当地居民常用其制作健康的甜菊植物饮品。我国于上世纪70年代开始引进培育甜叶菊,产区主要集中在山东、新疆、江苏、安徽、福建等省份,种植面积在逐年增加。目前,我国甜叶菊年平均生产量约4万吨,已成为甜叶菊最大的生产出口国,可谓拥有非常丰富的甜叶菊生物资源[1]。
甜叶菊中含有多种初生和次生代谢产物,如蛋白质、脂质、维生素、矿物元素以及甜菊糖苷、绿原酸类、黄酮类、澳泽兰素、邻苯三酚等物质[2],既具有较高的营养价值,也具有良好的生物活性和药用价值,既是优质的药食两用资源,也是多种生物活性物质的天然提取源。
甜叶菊中的生物活性物质及有益作用
1、甜菊糖苷
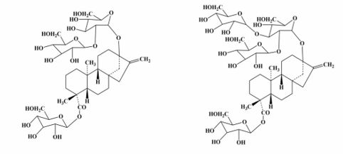
菊糖苷类化合物是甜叶菊中含量最高且种类最多一类功能物质,含量约占甜叶菊叶片干重的4-20%。甜菊糖苷属于四环二萜类化合物,目前已发现甜叶菊中含有40多种不同的甜菊糖苷,主要的如甜菊苷、甜菊醇、甜菊双糖苷、莱鲍迪苷(ABCDEF)、斯蒂韦伯苷、杜尔克苷、悬钩子苷等,图1为甜菊苷和莱鲍迪苷A的分子结构。甜菊糖苷属于非营养型天然甜味剂,甜度是蔗糖的200-300倍,摄入后不会引起血糖的升高,还具有低热量、非酵解、热稳定性好等优点[3],可作为蔗糖的天然替代品。
由于糖摄入过量引起的肥胖、糖尿病和其他慢性病症的持续增加,人们对于各类减糖、健康食品的诉求曰益高涨。在这一背景下,甜菊糖苷作为一种优质的”糖替”,在新型甜味剂和无糖、低糖食品开发领域颇具应用价值。与木糖醇、甘草甜素、莫内林、仙茅甜蛋白、新橙皮苷等在植物中含量很低的天然甜味剂相比,抑或是与糖精、阿斯巴甜、三氯蔗糖等人工合成甜味剂有金属后味的欠佳口感相比,甜菊糖苷原料价廉易得、提取工艺简单、适用范围广,逐渐成为甜味剂市场的新宠。
除了可作为天然甜味剂外,多种甜菊糖苷的药理活性也逐渐被发掘。研究发现,甜菊苷和莱鲍迪苷A对糖尿病患者具有降血糖、促进胰岛素和胰高血糖素分泌、降低血压、增强免疫等作用[5]。
甜菊糖苷易溶于水和醇类溶剂,因此一般选择水或乙醇作为溶剂从甜叶菊中提取甜菊糖苷。目前,甜菊糖苷提取方法除了有蒸煮法、发酵法、冷水浸泡法等传统方法外,还包括微波辅助提取法、超声波辅助提取法、高压辅助提取法、超临界流体萃取法等较为新兴的方法。研究发现,在传统方法中,蒸煮法对甜菊糖苷的提取率最高,冷水浸泡法次之,发酵法较低[4]。新兴方法与传统方法相比,甜菊糖苷的提取率均有不同程度的提高,如超声波辅助提取法对甜菊糖苷的提取率为12.78%,比传统蒸煮法提高了10.27%[6]。
2、绿原酸类
绿原酸类物质是由奎尼酸/奎宁酸与反式肉桂酸(咖啡酸、P-番豆酸、阿魏酸等)通过酶促酯化反应脱水缩合而成的一类缩酚酸类天然成分,是甜叶菊中的另一大类生物活性物质。绿原酸类在甜叶菊整株均有分布,以叶片中含量最高。甜叶菊中已检测出24种奎尼酸和莽草酸的羟基肉桂酸衍生物。动物实验研究发现,绿原酸类物质具有抑菌、抗氧化、抗病毒、降血压等多种活性,被誉为”植物黄金”。在多种有益作用中,抗氧化、抗炎是绿原酸类物质最主要的功效之一,这与其分子中的酚羟基结构密切相关。研究表明,绿原酸清除羟基自由基的能力高于维生素E[7];另有报道绿原酸可以通过清除活性氧的方式改善酒精引起的肝损伤[8]。
3、黄酮类
甜叶菊叶片中还含有多种黄酮类成分,主要为芦丁、黄酮醇及其衍生物、槲皮素及其衍生物、山 奈 酚及其衍生物、芹菜素及其衍生物等。甜叶菊中的黄酮类化合物已分离得到的有十余种,不同的黄酮类化合物具有不同的生物活性,普遍表现为抗氧化、抗菌、抗病毒、抗辐射、抗肿瘤、提高机体免疫力等药理活性。研究发现,利用微波提取法得到的甜叶菊总黄酮对DPPH自由基的清除率最高可达91.39[9];另有研究发现,甜叶菊总黄酮对DPPH自由基的清除能力具有明显的剂量效应[10]。
4、甜叶菊叶蛋白
叶蛋白是一类高聚合物质,存在17-18种氨基酸,其中8种为必需氨基酸。甜叶菊中含有13%左右的粗蛋白,前期对甜叶菊的利用多是提取其中的甜菊苷等活性物质,而对其中所含的叶蛋白的利用很少。叶蛋白是一种优质蛋白,其中赖氨酸的含量较高,可有效补充我国国民以谷物为主食所出现的赖氨酸摄入限制。甜叶菊叶蛋白提取物中不含胆固醇,可作为患有脂肪肝、心血管疾病等患者的蛋白补充剂。但由于植物叶蛋白往往呈绿色或灰白色,且具有一定的草腥味,因此需要通过改进提取工艺来改善其外观和味道,使其更具经济价值。
甜叶菊提取物的应用情况
甜叶菊提取物因其良好的生物活性和药用价值,早已在食品、饮料、化工、医药等多个行业有广泛的应用。如甜菊糖苷本身已作为甜味剂代替蔗糖添加于饮料、糖果、甜点等产品中,甜菊糖苷经葡萄糖基化后得到的葡萄糖基甜菊糖苷具有比天然甜菊糖苷更好的甜味,而且没有天然甜菊糖中后苦味的问题;绿原酸的抗氧化活性可用于化妆品配方中,现已有多项添加绿原酸后用于抗脲酶化妆品、抗皮肤衰老护肤品、防止紫外线和染发剂对头发损伤的洗发水的欧洲专利,绿原酸的抑菌活性亦可用作天然的防腐剂;黄酮类化合物的多种有益作用已成为保健品行业的宠儿,广泛用于具有抗氧化、增加机体抵抗力等功效的保健食品的生产;关于甜叶菊叶蛋白的开发和应用还比较少,但是其作为膳食补充剂、营养强化剂的潜力已十分显著。
除了以上几种主要的生物活性物质外,甜叶菊经提取后产生的滤渣、滤液等副产物中
存在大量纤维素、维生素、天然色素和生物碱等物质,也有很高的利用价值。若能将这部分资源综合利用,不仅可以减少废弃物对环境造成的压力,而且可以提高产品的附加值,使甜叶菊产业链更加完整,具有更好的社会、经济和环境效益。
