01 脑健康产品市场需求持续扩张
磷脂酰丝氨酸PS,是一种欧美市场主流的认知健康补充剂成分,有比较高的消费者认知度。
在过去几年内,大脑健康相关的膳食补充剂出现了巨大的增长。根据美国联合国市场研究的数据,2017年全球脑健康产品市场规模约为250亿人民币,预计2023年将达415亿人民币,年复合增长率为8.8%。以美国市场为例,据调研数据显示,脑健康领域的认知健康是2021年的主流市场:2021年美国主流补充剂市场认知健康成分的整体销售额增长了 59%,达到 3.66 亿美元,而一年前为 2.3 亿美元。
02 磷脂酰丝氨酸PS的脑健康功效与作用机理
磷脂酰丝氨酸PS,是一种欧美市场主流的认知健康补充剂成分,有比较高的消费者认知度。磷脂酰丝氨酸PS是一种天然存在于生物体细胞膜中的成分,是细胞膜组分之一,与一系列的膜功能有关。磷脂酰丝氨酸PS尤其在人体的神经系统中大量存在,人体中约有30克,其中接近一半的量(13克)存在于人脑中,占大脑磷脂总库的约17%,对大脑的各种功能起到重要的调节作用。
自1942年Jordi Folch首次从牛脑中发现磷脂酰丝氨酸PS后,关于磷脂酰丝氨酸PS的研究就从未间断。到目前为止,磷脂酰丝氨酸PS被认为具有改善认知能力下降以及缓解压力,改善情绪的脑健康功效,且通过了人群验证。据不完全统计,截止到今天,参与磷脂酰丝氨酸PS临床研究的总人数超过3000,研究对象包括易感人群(老年人和儿童)和健康个体在内,功效性和安全性都具有科研支撑。
1、改善认知能力下降
磷脂酰丝氨酸PS主要的功能是改善认知能力下降,特别是衰老引发的认知能力下降。目前的研究一般认为磷脂酰丝氨酸PS是通过以下三种机制来改善认知能力下降的:
一是维持细胞膜功能,磷脂酰丝氨酸PS作为细胞膜的重要组分,有助于增加细胞流动性,并对Na+/K+ 刺激的 ATP 酶(上调)和乙酰胆碱酯酶(下调)产生积极影响,这可能导致其对认知的影响;
二是帮助修复细胞损伤,磷脂酰丝氨酸PS有助于增加神经细胞突刺数目,帮助修复和更新受损的脑细胞,并恢复神经递质传递所需的能量,减缓大脑细胞衰老,帮助大脑运作,提升认知学习能力;
三是增加胆碱能,乙酰胆碱是脑细胞用来相互交流的化学物质,乙酰胆碱水平的降低,会使神经元之间的交流减少,这会导致记忆障碍、学习障碍和整体认知功能障碍。磷脂酰丝氨酸PS可以促进乙酰胆碱的合成和释放,加快脑细胞之间的交流,从而有助于思考。
2、缓解压力,改善情绪
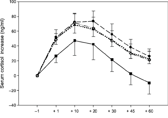
多项研究表明,磷脂酰丝氨酸PS可以显著降低工作紧张着体内过多的应激激素水平,减轻压力,缓解脑部疲劳,改善情绪。皮质醇是我们身体产生的应急激素,这种激素的产生让我们感觉到压力,焦虑,抑郁等,补充PS可以降低血清皮质醇的水平,从而改善情绪,缓解压力。另外,磷脂酰丝氨酸PS会影响大脑中多巴胺的水平,帮助降低抑郁症的严重程度。
03 磷脂酰丝氨酸PS+的临床研究与应用
磷脂酰丝氨酸PS作为一种强大的脑健康原料,在产品应用上可以以单一有效成分形式作为膳食补充剂,在欧美市场以磷脂酰丝氨酸PS单一有效成分做补充剂的产品已经非常普遍和成熟。除此之外,磷脂酰丝氨酸PS作为一种天然存在于人体中的磷脂组分,具有较强的亲脂性,容易被吸收,当复合其他功能原料一同使用时,能发挥更强大的功能效果,同时磷脂酰丝氨酸PS+其他功能原料的方案,更能够提高产品市场占有率和消费者认知度。
1、磷脂酰丝氨酸PS+DHA
DHA是一种Omega-3脂肪酸,它可以促进神经元的生长和保护、改善记忆和思考能力。而PS是一种脂质分子,能够加强神经元膜的稳定性,促进神经递质的合成,提高脑细胞的能量代谢,改善认知能力,缓解压力、改善情绪。有研究表明,补充DHA可促进神经元细胞中磷脂酰丝氨酸PS的积累,而且这种增加是在神经元细胞中特有的。DHA和PS能够在不同的方面对大脑产生积极的影响,经常一起使用可以产生协同作用,进一步提高大脑功能和健康。在临床研究上,每天摄入100mg磷脂酰丝氨酸PS+DHA的复合物,持续15周,研究对象的认知状态水平可以得到有效维持或改善;另外对于抑郁症患者的研究表明,每天摄入PS(100mg)和omega-3脂肪酸 (DHA 119mg、 EPA 70mg)的补充剂3次,12周后,患者的汉密尔顿抑郁量表评分显著下降,表明磷脂酰丝氨酸PS+DHA的复合物,可改善抑郁症患者的情绪。
2、磷脂酰丝氨酸PS+银杏叶提取物
银杏叶提取物是一种常见的天然药物,具有多种保健功效,包括促进血液循环和神经保护,其含有的化合物能够促进血管周围神经元的生长,提高大脑的血液供应量,从而改善认知功能和增强记忆。磷脂酰丝氨酸PS和银杏叶提取物经常被联合使用以提高认知功能和缓解焦虑。
有研究表明,当表明银杏叶复合PS使用时,银杏叶提取物的生物利用度得到了提升。2007年发表在《人类精神药理学》的一项研究表明,120mg银杏叶提取物与主要结果的明显改善没有关系,而复合PS的银杏叶提取物的记忆表现得到了改善,包括记忆速度和记忆质量都得到显著提高;另外,情绪测量结果显示PS+银杏叶提取物的组合对平静情绪效果明显。
3、磷脂酰丝氨酸PS+姜黄素
姜黄素是姜黄中的一种黄色染料,具有良好的抗氧化等多种保健作用,可促进神经元生长和恢复,改善认知和记忆功能。一些研究发现,在将磷脂酰丝氨酸PS和姜黄素联合使用时,它们可以发挥相互协同的作用,提高大脑抵抗氧化应激和神经退行性变的能力。此外,姜黄素可以促进磷脂酰丝氨酸PS的吸收和利用,并加速其对神经元的维护和修复,磷脂酰丝氨酸PS同样可以增加姜黄素生物活性。
