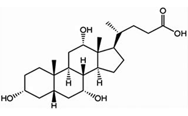
胆酸是一种类固醇结构的有机酸,可以促进脂肪溶解,从而有利于脂肪酶的消化作用。
产品名称:胆酸
CAS 号:81-25-4
化学名: 3α,7α, 12α-三羟基-5β-胆烷-24-酸
分子式:C24H40O5;
分子量:408.58
性状:白色结晶性粉末,无臭,味苦
溶解性:溶于乙醇和丙酮,微溶于水
熔点:198-202°C
旋光度:不小于 +35,0 ° (2%乙醇溶液)
干燥失重: 不大于 1,0%
含量:99,0-101,0%(滴定法)
质量标准:企业标准
HPLC 纯度:≥99%
有关物质 (HPLC和TLC):
脱氧胆酸 :小于0,5%
鹅去氧胆酸 :小于 0,5%
用途:利胆药。
用途:合成UDCA的原料
