透明质酸(hyaluronic acid,HA)又称玻璃酸、玻尿酸,广泛存在于生物体内,常见形式是透明质酸钠(Sodium Hyaluronate,SH)。
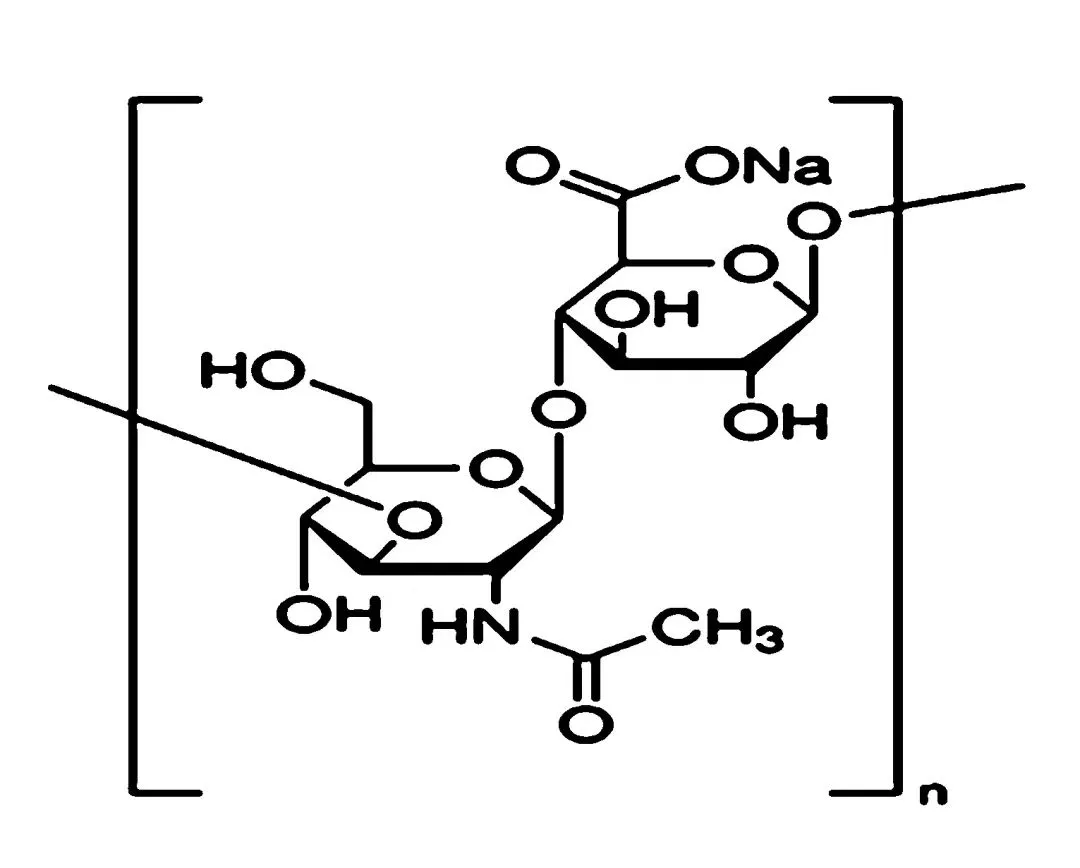
透明质酸钠遍布人体,是由葡萄糖醛酸和乙酰氨基己糖结合为双糖,并以此双糖为单位通过聚合反应产生的一种高分子质量的直链黏多糖,其化学式为(C14H20NO11Na)n,透明质酸钠化学结构式见图:

透明质酸钠是一种黏多糖类物质
透明质酸钠是一种黏多糖类物质,呈白色颗粒或粉末状固体,具有水溶性,在乙醇、丙酮或乙醚中不溶,其在水中溶胀成澄清的具有黏稠弹性的溶液,为一种非牛顿流体,黏稠度远大于生理盐水。其分子形态、理化性质随分子量大小的不同呈可变性。
“透明质酸”、“透明质酸钠”常常出现在很多护肤品成分表中,相信大家一定不陌生,而有时候它们又被叫做“玻尿酸”、“玻尿酸钠”,他们之间有什么关系,又有什么区别呢?

透明质酸钠是透明质酸的钠盐
虽然大家习惯上把透明质酸钠称为透明质酸,但这两者不是同一种物质。透明质酸(HA)又称玻璃酸、玻尿酸,广泛存在于生物体内,常见形式是透明质酸钠(SH),也可称为玻尿酸钠。
但水解后的透明质酸钠分子量更小,能被人体深层组织吸收,同时透明质酸钠具有免疫抗炎、润滑关节、美容养颜等作用。
透明质酸钠的护肤功能主要取决于分子量和用量。常用的透明质酸钠有:
◆ 超微透明质酸钠(分子量小于1万Da)
◆ 小分子透明质酸钠(分子量1万Da—100万Da)
◆ 中分子透明质酸钠(分子量100万Da—180万Da)
◆ 大分子透明质酸钠(分子量>180万Da)
分子量在200万Da以上一般以储水保湿、 抵挡紫外线等为主;120~160万Da是最常用、性价比最高的透明质酸钠;20~40万Da是在常规分子量基础上通过酶解降低其分子量,增加其流动性,使其在精华液中发挥更好的保湿效果;分子量1万Da以内的可以深入皮肤角质层,达到深层补水的功能。

高分子量的透明质酸钠能够在皮肤表面形成一层透明的水化膜
透明质酸钠的分子结构较为特殊,部分子链上单糖与单糖之间存在的氢键使其在空间结构上呈一种刚性柱形螺旋结构,柱形内侧存在大量的羟基,水分子可以通过极性键和氢键与透明质酸分子结合,使透明质酸钠能够吸收和保持大量水分子。
不同分子量大小的透明质酸钠的保水功能不同,就其在皮肤中的保湿作用而言,超微透明质酸钠的分子量极小,能够透过皮肤到达皮肤深层,增强皮肤内部的水分含量,调节皮肤的新陈代谢,增强皮肤的光泽感和柔嫩度,高分子量的透明质酸钠能够在皮肤表面形成一层透明的水化膜,具有防止内部水分流失的作用。
此外,与其它的保湿剂相比,透明质酸钠在低湿度环境下吸湿量最高,在高湿度环境下吸湿量最低,这种独特的性质可以适应皮肤在不同季节、不同环境湿度下,对化妆品保湿作用的要求。
透明质酸可有效改善皮肤细胞生存微环境,还可诱导细胞增殖分化,如皮肤受到阳光暴晒后变红、变黑和脱皮,透明质酸可通过促进表皮细胞的增生和分化,促进受伤部位皮肤再生且其可以渗入人体皮肤,帮助皮肤代谢废物,使细胞更新代谢加快,增强皮肤抵抗力,从而使皮肤焕发活力,起到良好的美容养颜效果。
透明质酸具有抗氧化性能,包括减少紫外线诱导的细凋亡和酸诱导的DNA损伤。无论是在体内还是体外,透明质酸的羟基官能团都可以吸收活性氧清除自由基。

透明质酸的羟基官能团都可以吸收活性氧清除自由基
3)促进伤口愈合
透明质酸钠能够促进细胞增殖,对伤口愈合有较好的药理作用。在伤口愈合过程中,透明质酸钠能够通过促进伤口处细胞的增殖,以及可能参与血管生成调节的方式促进伤口的愈合。

透明质酸钠能够促进细胞增殖
4)改善炎症反应
透明质酸钠具有一定的抗炎活性,能有效降低炎症因子的表达,从而抑制相关炎症的发生。临床上,透明质酸钠常作为一种关节腔注射药物,用于膝骨关节炎的治疗。研究表明,将透明质酸钠注射到关节腔内后,透明质酸钠可以和关节腔内的糖蛋白结合形成聚合体,从而抑制糖蛋白在炎症反应中的作用,延缓关节软骨的退变,促进软骨损伤的修复,降低炎症反应的发生。
透明质酸广泛存在于人体肌肤组织,其分子结构式中包含许多氢键,并在空间上呈刚性的螺旋柱形,内侧存在大量羟基,可结合大量水分子,且这些水分子在柱内非常牢固,具有良好的吸水性和安全性。
皮肤含水量逐渐变少的原因是随着年龄的增长,纤维芽细胞活性大幅度下降,其分泌的玻尿酸也急剧减少,外部摄入的透明质酸钠可被盲肠内的细菌分解为低聚糖,通过大肠吸收到血液或淋巴进入全身皮肤,增加纤维芽细胞的活性,使真皮层的纤维芽细胞分泌产生透明质酸,从而使皮肤中水分含量保持相对稳定。
与正常关节腔相比,发生炎症的关节软骨会退化,关节滑液中透明质酸钠的浓度会降低粘度会下降,软骨表面的摩擦变大,通过在关节腔内注射透明质酸钠的方式,可以提高关节滑液中透明质酸钠的含量,帮助关节建立短时的平衡,提高关节的润滑度降低摩擦。
1)化妆品方面
透明质酸钠中含有多个羟基和羧基,水分子可以通过极性键和氢键与透明质酸钠结合,使其具有较强的保水性。小分子量的透明质酸钠能够透过皮肤到达皮肤深层,增强皮肤内部的水分含量,调节皮肤的新陈代谢,增强皮肤的光泽感和肉嫩度,高分子量的透明质酸钠则可以在皮肤表面形成一层透明的水化膜,具有防止内部水分流失的作用。与甘油、可溶性胶原等保湿剂相比,透明质酸钠的保湿效果更好,更轻薄透气等特点。
透明质酸钠作为动物结缔组织细胞外基质的主要成分,具有较高的安全性,且透明质酸钠吸水后具有一定的胶黏性,1%的透明质酸钠水溶液就呈现凝胶状,在美容手术中可充当填充剂。
透明质酸钠具有天然、可降解、吸收性好等特点,在临床上的用途十分广泛。透明质酸钠具有良好的黏弹性,能有效预防术后浅前房并发症、小梁切除术后迟发性水泡渗漏等眼部疾病的发生,在白内障手术、人工晶体移植术和角膜移植术等眼科手术中应用较为广泛。
透明质酸应用于美容具有保湿、增强皮肤弹性防止皮肤老化等作用,但作为生物大分子,外用不易吸收,而将透明质酸降解成为小分(1~5)x105口服,经肠道吸收体内降解成为单糖,可增加机体合成透明质酸所需前体。
目前,很多发达国家已批准可将透明质酸钠当作普通食品添加剂食用,且已有一定时间的实践经历。2021年,我国将透明质酸钠列入新资源食品原料名单后,其在普通食品行业将会得到发展。