行业资讯

葛根提取物抗抑郁活性成分的筛选、鉴定及其作用机制研究

抑郁症是一种常见的精神疾病,病程长,复发率高。近年来已有研究表明葛根及其提取物具有较强的抗抑郁作用。本研究提出了网络药理学与分子药理学实验相结合的综合策略,以研究葛根抗抑郁活性成分的作用机制。
作者首先通过TCMSP数据库筛选出OB值≥20%的葛根中的8种有效成分如表1所示。接着检索TCMSP数据库并收集有关基因靶点的信息,在消除重复后,总共获得了与葛根活性成分相对应的99个靶点,并使用Cytoscape 3.7.2软件构建了“复合基因靶点网络”(图1)。
图1 葛根有效成分预测目标网络图及度值和介数中心度分布图

图1 葛根有效成分预测目标网络图及度值和介数中心度分布图

然后使用GeneCards数据库,以“抗抑郁剂”作为关键词搜索,共提取了1596个与抗抑郁剂相关的靶点,与TCMSP数据库中获得的活性化合物相对应的基因靶点相互映射。Venny 2.1软件生成Venn图,最终获得64个共同目标(3.9%)。将数据导入Cytoscape 3.7.2,构建葛根“活性化合物-抗抑郁剂”的靶网络(图2)。
图2葛根抗抑郁药有效成分靶网络及度值分布图和介数中心图图2葛根抗抑郁药有效成分靶网络及度值分布图和介数中心图

图2葛根抗抑郁药有效成分靶网络及度值分布图和介数中心图

将葛根抗抑郁药物靶点数据导入STRING数据库,构建基因靶点的PPI网络。然后将PPI网络数据导入Cytoscape 3.7.2软件进行可视化分析,设置度>15的阈值,根据度值从高到低选择15个核心目标(表2)。在本研究中,这些核心靶点通过可视化和分析,最终获得葛根抗抑郁相关靶蛋白的完整PPI网络。通过KEGG途径和GO生物过程富集分析和生物注释,对选定的抗抑郁药核心基因进行富集。
葛根抗抑郁的核心靶点

葛根抗抑郁的核心靶点

接下来作者用MTT法检测葛根素对皮质酮诱导的PC12细胞损伤的影响。与对照组相比,皮质酮组PC12细胞活力显著降低;与模型组相比,中、高浓度葛根素组PC12细胞活力明显增强,即中高浓度葛根素可显著提高皮质酮在200μmol/L浓度下诱导的受损PC12细胞的活力(图3)。
图3 皮质酮和葛根素分别对PC12细胞活性的影响

图3 皮质酮和葛根素分别对PC12细胞活性的影响

使用DCFH-DA探针和活性氧检测试剂盒检测PC12细胞中活性氧的产生。与模型组相比,不同浓度葛根素预处理可显著抑制皮质酮诱导的PC12细胞中的ROS生成(图4c–4e)。结果表明,随着葛根素浓度的增加,活性氧的产生明显逆转。
图4 皮质酮和葛根素分别对PC12细胞活性的影响

图4 皮质酮和葛根素分别对PC12细胞活性的影响

PI/Annexin V双染色标记,然后用流式细胞仪检测葛根素对PC12细胞的凋亡率(图5)。与皮质酮组相比,不同浓度葛根素组PC12细胞凋亡率由52.25%降至15.05%。
图5 皮质酮和葛根素分别对PC12细胞活性的影响

图5 皮质酮和葛根素分别对PC12细胞活性的影响

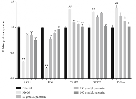
最后用Western blotting用于验证葛根素对PC12细胞中AKT1、FOS、CASP3、STAT3和TNF-α等关键靶点的调节作用(图6)。
图6 葛根素对抑郁症相关通路蛋白表达的影响

图6 葛根素对抑郁症相关通路蛋白表达的影响

综上所述,本研究首先提出了综合策略,结合分子药理学实验和网络药理学研究葛根抗抑郁活性成分的作用机制。成功建立了抑郁症样PC12细胞模型。本研究结果表明,葛根中的葛根素是抗抑郁的有效成分。显著提高皮质酮损伤PC12细胞的存活率,降低皮质酮损伤PC12细胞的凋亡率,减少皮质酮诱导的ROS产生。它通过AKT1-STAT3途径发挥作用,增加AKT1和FOS的蛋白表达,减少与抑郁症信号通路相关的CASP3、STAT3和TNF-α的蛋白表达。此外,下一步还需要研究葛根素的最佳剂量和体内效应。本研究揭示了葛根的药效物质基础和可能的抗抑郁机制,为从细胞和分子水平系统研究抗抑郁药物提供了新思路。

发表回复

您的邮箱地址不会被公开。 必填项已用 * 标注