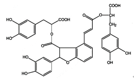
丹酚酸B(Sal B)是从丹参中提取的水溶性成分,由3分子丹参素和1分子咖啡酸缩合而成的酚酸类化合物。丹酚酸B的化学结构中含有9个酚羟基,可以提供活性氢阻止脂质过氧化反应,其结构如下图所示。研究表明,丹酚酸B在不同的自由基生成系统均表现出较强的抗氧化、清除自由基的作用,丹酚酸B具有多种药理活性,可以通过多途径、多靶点发挥对血管的保护作用,在心血管疾病治疗中具有广泛的应用。
1、抗氧化
研究表明丹酚酸B能够清除氧自由基、抑制脂质过氧化反应,是已知的具有较强抗氧化作用的天然产物之一。研究发现丹酚酸B可以改善大鼠组织病理学损害,防止血清肌酸激酶(CK-MB)、心肌肌钙蛋白(cTnI)和乳酸脱氢酶(LDH)的渗漏,还能显著提高大鼠过氧化氢酶(CAT)、谷胱甘肽过氧化物酶(GSH-Px)和还原型谷胱甘肽(GSH)活性。在体外实验中,丹酚酸B能够降低培养上清液中LDH的活性和心肌细胞内活性氧(ROS)和丙二醛(MDA)水平,对心肌细胞凋亡起到一定的保护作用,也有助于提高其抗氧化性能。通过建立大鼠脓毒血症模型,采用酶联免疫吸附测定检测肌钙蛋白T、肌酸激酶同工酶、白介素-6(IL-6)水平,比色法检测超氧化物歧化酶的活性和MDA的含量,观察各组心肌组织病理变化,检测凋亡相关蛋白半胱氨酸蛋白-3、B淋巴细胞瘤-2、Bcl-2相关X蛋白等表达水平。发现丹酚酸B通过影响自噬蛋白,抑制大鼠体内氧自由基的释放,增强抗氧化应激的能力。
2、抗细胞凋亡
研究发现,丹酚酸B 能诱导心血管内膜的细胞凋亡,防止心血管内皮的增厚。对急性心肌梗死(AMI)大鼠给予丹酚酸B治疗后发现丹酚酸B可以抑制多聚腺苷二磷酸核糖聚合酶-1(PARP-1)通路,改善大鼠心肌组织线粒体和细胞核的完整性,抑制心肌细胞凋亡。通过建立糖尿病(DM)模型发现丹酚酸B可能通过激活烟酰胺腺嘌呤二核苷酸依赖性酶(SIRT1)表达,抵抗由高糖培养诱导的心肌细胞氧化应激性损伤,以及心肌细胞凋亡。
3、对心肌梗死的保护作用
采用冠状动脉结扎方法构建大鼠心肌梗死( myocardial infarction,MI)模型,考察丹酚酸 B对 MI 的保护作用。结果显示,与对照组相比,丹酚酸B能够对MI发挥明显的心脏保护作用。机制研究表明,丹酚酸 B 主要通过抑制瘦素和内皮素-活性氧簇( endothelin-reactive oxygen species,ET-ROS) 的上调以及恢复心肌中心肌细胞肌浆网钙ATP酶2a( sarco/endoplasmic reticulum ATPase 2a,SERCA2a) 和受磷蛋白的正常表达,进而发挥保护心脏的作用。
4、抑制心肌细胞肥大的作用
在研究丹酚酸B对血管紧张素Ⅱ(angiotensin Ⅱ,AngⅡ) 诱导的新生大鼠心肌细胞肥大的影响中,结果表明,丹酚酸B能够抑制AngⅡ诱导的心肌细胞的肥大,同时发现心钠素和脑钠素mRNA 表达下降及细胞表面积减少。机制研究发现,丹酚酸B能够抑制聚腺苷二磷酸核糖聚合酶1[poly( ADP-ribose) polymerase-1,PARP-1]的活性,同时发现过表达PARP-1 能够减弱丹酚酸B抗心肌细胞肥大的效应,这些研究表明丹酚酸B具有很好的抑制心肌细胞肥大的作用。
5、对缺血/再灌注( MI/R)损伤的保护作用
在大鼠心肌缺血再灌注损伤的模型中,丹酚酸B可以降低损伤后血清CPK水平,缩小心梗面积。丹酚酸B还能明显抑制肾素-血管紧张素-醛固酮系统的激活,调节PGI 2和TXA2的水平,降低炎性细胞因子的释放。这些结果从抑制炎症反应的角度证实丹酚酸B对缺血再灌注心肌细胞的保护作用。在离体心脏和培养心肌细胞的缺氧复氧模型中,丹酚酸B也表现出类似的作用。研究显示,丹酚酸B与5-氮胞苷联合应用可诱导大鼠骨髓间充质干细胞定向分化为心肌样细胞,其作用机制可能是丹酚酸B促进骨髓间充质细胞分泌某些细胞因子,进而影响有利于心肌样细胞形成的基因NKX2.5、GATA-4的表达并促进心肌细胞结构蛋白的表达,从而诱导骨髓间充质干细胞向心肌样细胞分化。骨髓间充质干细胞中的干细胞因子(SCF)是一种可能的趋化因子,对原始骨髓细胞向心梗区迁移、积聚和扩增起重要作用。不同浓度的丹酚酸B均可明显促进骨髓间充质干细胞分泌SCF,增强SCF mRNA的表达。利用丹酚酸B预处理内皮祖细胞和骨髓间充质干细胞的实验表明,丹酚B能增加内皮祖细胞增殖、黏附及迁移能力,促进新生血管的形成,改善心肌微环境,上调NKX2.5、GATA-4基因的表达,从而提高骨髓间充质干细胞向心肌细胞的定向分化。
此外,研究结果表明,丹酚酸B对缺血再灌注心脏的保护作用也与激活内源性保护机制有关。利用人脐静脉内皮细胞(HUVECs)的低氧模型,研究证实,丹酚酸B镁盐能通过抑制NO释放及eNOSmRNA表达的升高,拮抗Ca2+内流,对内皮细胞产生保护作用。在H2O2诱导的 HUVECs损伤模型中,丹酚酸B呈剂量依赖性地抑制内皮细胞CD54的表达,降低中性粒细胞的黏附率。此外,丹酚酸B还可以上调与内质网应激有关的蛋白-葡萄糖调节蛋白78(GRP78),从而防止氧化应激对HUVECs的损伤,这一作用与激活ATF6及PERK-eIF 2α-ATF4通路有关。
6、抗动脉粥样硬化的作用
丹酚酸B能够抑制多种因素诱导的人主动脉平滑肌细胞(HASMCs)内MMP-2、MMP-9表达的上调及COX的表达。体外实验还证实,丹酚酸B可以减轻主动脉内膜的增厚。应用人主动脉内皮细胞(HAECs)研究了丹酚酸B对细胞黏附分子表达的影响。结果表明,丹参水提物和丹酚酸B均能显著减少VCAM-1和ICAM-1的表达,减少人体单核细胞系U937与TNF-α处理的HAECs的结合,抑制TNF-α诱导的HAECs中NF- κB的激活。丹酚酸B的抗炎特性为阐明丹酚酸B的抗动脉粥样硬化作用提供了新依据。另有研究发现,丹酚酸B能够清除循环中的自由基,减少维生素E的消耗,间接阻止LDL被氧化修饰,起到延缓动脉粥样硬化发展的作用。
丹酚酸B还可以上调HUVECs中组织型纤溶酶原激活剂(t-PA)和血栓调节蛋白(TM)的表达,下调纤溶酶原激活物抑制剂(PAI-1)的表达提高HUVECs的纤溶活力。研究发现,丹酚酸B呈时间和剂量依赖性抑制TNF-α诱导的HUVECs细胞中PAI-1的表达,这种作用与NF- κB及ERK-AP1信号通路有关。这些数据提示丹酚酸B可以改变内皮细胞的基因表达,预防血管事件发生,具有防治血栓性疾病的应用前景。
动脉粥样硬化的发生还与血小板的黏附聚集相关。丹酚酸B通过抑制血小板释放各种递质和/或阻止血小板上胶原相关受体与胶原蛋白的结合,而对抗血小板的黏附。还有研究发现,丹酚酸B能够抑制血小板沉积于特异性肽段α2β1并特异性抑制抗 α2β1的抗体与血小板结合,并阻止可溶的α2β1相互结合为不可溶的胶原。
7、血管舒张作用
丹参水提物和丹酚酸B的血管舒张效应主要与抑制L型电压依赖性Ca2+通道有关,丹酚酸B较强的血管舒张效应及其在丹参水提物中的高含量提示丹酚酸B是中药丹参发挥血管舒张作用的重要组分。生理及病理状态下Ca2+激活的K+通道(BKCa)及ATP 依赖的K+通道(IKATP)对冠脉张力的调节都起重要作用。研究表明,丹参粗提物中只有丹酚酸B可以激活鸟苷酸环化酶,诱导平滑肌细胞BKCa通道的开放。
