脂溶性醌类化合物——辅酶Q10,你至少需要知道这5点!
辅酶Q10同时拥有药品与保健品的“双重身份”。辅酶Q10对人体究竟有哪些好处?又有哪些人群适合吃呢?
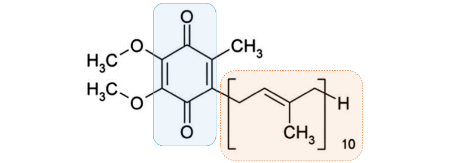
辅酶Q10是一种脂溶性的醌(Quinone)类化合物,可由酪氨酸在人体内内源性合成,亦可由食物摄入。
因为含有10个异戊二烯单位组成的侧链,被称为辅酶Q10。

辅酶Q10化学式
二、辅酶Q10是细胞呼吸激活剂?
细胞呼吸是指糖、脂肪、蛋白质等物质,在体内经过一系列的氧化分解时,逐步释放出能量并生成ATP,最终生成CO2和H2O的过程。
该过程,需要耗氧、排出二氧化碳,又在细胞内进行,故又称为细胞呼吸。
辅酶Q是线粒体合成ATP的必要成分,是细胞呼吸和细胞代谢的激活剂。
沙丁鱼、秋刀鱼、动物内脏、牛肉、花生、胡桃、腰果等食物中含量相对丰富。
对于大部分普通人群来说,自身合成的辅酶Q10的量足够大,不会有缺乏的问题,因此,不建议健康人群使用药物性辅酶Q10进行补充。
2003年,我国批准了第一个辅酶Q10类保健食品。
2021年3月1日实行的《保健食品原料目录辅酶Q10》中,辅酶Q10被批准的保健功能只有二种:抗氧化和增强免疫力。
适用于成人,不适宜少年儿童、孕妇、乳母和过敏体质人群食用。
无论是口服还是注射,辅酶Q10都只起辅助治疗作用!

药品说明书适应症
温馨提示:
注射剂已纳入医保目录,但仅限急救、抢救使用。注射剂可发生过敏性休克,需在有抢救条件的医疗机构使用。
辅酶Q10见光易分解,静脉滴注时,应采取避光措施。

临床诊疗指南(专家共识)推荐意见
五、可否用于他汀类药物所致肌病患者?
他汀有肌毒性,可能与引起肌细胞线粒体内的辅酶 Q10 缺乏有关。
有研究证实,补充辅酶 Q10 治疗后,可改善肌病的症状,但确切疗效仍待验证。
2021年版《改善心肌代谢药物临床应用中国专家共识》:
他汀类药物所致肌病患者,辅酶Q10剂量200~400mg/d开始,在启动辅酶Q10前几周内暂停他汀类药物,使肌肉症状缓解,然后再重新启动他汀类药物。
若肌肉症状复发但较前减轻,可继续联合治疗;若无效应,停用他汀类药物和辅酶Q10,考虑其他降胆固醇治疗。